物理学史中的库仑定律

 学习物理学的知识时,一些物理学概念和规律的了解应该结合物理学史讲清理论的来龙去脉,使学习者能获得一个动态的和积极的学习过程,消除对物理知识的神秘感,这样可以增强思维的灵活性。通过对物理学史的学习,了解物理学家的成败得失,我们还可以增强对物理的兴趣,增强“细推物理”的信心。

 

本文以库仑定律为例,结合物理学史,使“库仑”还原成一个有血有肉的科学家,这样“库仑”就不再只是电量单位,“库仑定律”也就不会只是一个干巴巴的物理公式。今年恰逢库仑(C.Coulomb,1736-1806) 诞辰280 周年、逝世210 周年,本文简要回顾库仑定律的发现历程,以期对读者有一些启迪。

 

科学家对电力的早期研究

 

人类对电现象的认识,经历了一条漫长而曲折的道路。殷商时期,甲骨文中就出现了“雷”、“电”的形声字。但是,直到16 世纪人们才对电的现象有了比较深入的认识。作为英国女王伊丽莎白一世的御医的吉尔伯特(W.Gilbert,1544-1603),首先引入了“电吸引”这个概念,系统地研究了静电现象。1600 年,吉尔伯特发现一些物质互相摩擦后,能够吸引轻小物体。他把这种力称为“琥珀之力”。后来的科学名词——“电”,就是根据希腊文“琥珀”一词的词根拟定的。

 

吉尔伯特,英国著名的医生、物理学家。1600年发表巨着《论磁》,系统地总结和阐述了他对磁的研究成果。(资料来源:互动百科, http://www.baike.com/wiki/吉尔伯特)

 

18 世纪时,牛顿创立了经典力学理论后,运动三定律和万有引力定律为物理科学发展奠定了基础,把天上和地上的运动统一起来,完成了人类对自然规律的第一次理论概括和总结。18 世纪中叶,人们坚信万有引力定律的正确性,将万有引力定律外推到电和磁的研究中去。18 世纪后期,随着实验条件的不断改善,科学家开始了对电荷相互作用的实验研究。

 

1733 年,法国科学家杜菲(C. du Fay,1698-1739)根据大量的实验事实,大胆断定自然界存在着不同种类的电荷。一种叫“琥珀电”;一种叫“玻璃电”。1747 年,美国科学家富兰克林(B.Franklin,1706-1790) 把丝绸摩擦过的玻璃棒带的电称为“正电”,把毛皮摩擦过的琥珀带的电称为“负电”,正电负电概念由此提出。

 

1759 年, 德国科学家爱皮努斯(F. Aepinus,1724-1802) 提出一种假设,认为电荷之间的斥力和引力随带电体的距离减少而增大。不过,爱皮努斯并没有用实验验证这个假设。1760 年,伯努利(D.Bernoulli,1700-1782)猜测电力会不会也跟万有引力一样服从平方反比定律,他的想法在当时有一定的代表性。

 

1755 年,富兰克林观察到电荷只分布在导体表面,而在导体内部没有静电效应。他把这一现象告诉了英国科学家普利斯特利(J. Priestley,1733-1804),并建议普利斯特利重复这个实验,加以确认。普利斯特利曾经从牛顿的万有引力理论出发,将电荷作用力和万有引力相类比,推测电荷的作用力也符合平方反比定律,但并没有用实验来证实这一结果,所以还是停留在猜测的阶段,最后被束之高阁。顺便一提的是,科学研究过程中,科学家之间的交流与合作可以集众人之智慧,形成一种互补优势,并且常常能激荡出宝贵的创造火花,继而发展成重大科研成果,推动科学进步。科学史上有很多这样的历史经验值得我们借鉴、参考。

 

科学史上,曾经还有两位英国科学家对电力做过定量的实验研究,并得到明确的结论。可惜,他们没有能够及时公布研究成果,没有对科学的发展起到应有的推动作用。一位是罗宾逊(J.Robinson,1739-1805),另一位是卡文迪许(H. Cavendish,1731-1810)。罗宾逊设计了一个杠杆装置得出电力服从平方反比定律的结论,得到的指数偏差δ =0.06,并认为是实验误差导致指数偏大。1801 年,罗宾逊才公布此项研究成果。

 

1772 年到1773 年间,卡文迪许做了一个双层同心球(图1)实验,精确测量出电力与距离的关系。卡文迪许分析,既然一个带电金属球壳内部的任何一点都没有电力作用,如果把球壳切成两半,在腔内放一电荷,该电荷不受力的作用,说明两部分球壳上的电荷对P 点电荷的静电力是相互抵消的。卡文迪许证明,只有静电力反比于距离的平方时,两个力才会抵消。他由此得到电力是服从平方反比定律的,并且将电力表示为以下形式。卡文迪许的同心球实验比库仑的扭秤实验要早11 年。卡文迪许用的是当年最原始的电测仪器,由于设计很巧妙,获得了非常可靠的结果。

 

图1 卡文迪许照片及其双层同心球

 

虽然卡文迪许是“一切有学问的人当中最富有的,一切最富有的人当中最有学问的”,但是,由于他生性孤僻很少与人交往。直到卡文迪许去世,都没有公开发表这一研究结果。1879 年,麦克斯韦整理出卡文迪许的这项研究成果,他的工作才为世人所知。如果这个成果能够及时发表,也许现在的库仑定律就要改个名称了。由此可见,为了促进科学进步,仅仅提出丰富思想、开发新的实验、阐述新的问题或创立新的方法是不够的,还必须要有效及时地把创新成果与他人交流,为共有的知识大厦添砖加瓦。只有那些能及时被其他科学家有效认同和利用的研究成果才有意义。所以,做科学研究,要小心假设,大胆求证,善于分享,及时发表科研成果,这样才可以使科学造福人类。

 

库仑定律的建立

 

库仑是法国工程师和物理学家,在电学研究方面做出了重大贡献,被誉为“电磁学中的牛顿”。他出生在法国南部昂古列姆城一个富裕的家庭。1806 年8月23 日,库仑在巴黎逝世,终年70 岁。库仑为人正直,品质高尚。托马斯• 杨(T.Young,1773-1829)称赞库仑的道德品质是同他的数学研究一样出色。在纪念库仑发行的邮票(图2)中也有丰富的物理学史资料。人们可以看到库仑的肖像以及其生卒年代,可以看到他原来使用的扭秤。

 

图2 邮票上的库仑


1773 年,法国科学院通过悬赏,公开征求改良航海指南针中的磁针问题。四年后,库仑以《关于制造磁针的最优方法的研究》的论文获得头等奖。库仑认为磁针支架在轴上,必然会带来摩擦,于是提出用细头发丝或丝线悬挂磁针。在实验中,库仑发现,丝线扭转时的扭力和磁针转过的角度成比例关系,从而可利用此装置测出静电力和磁力的大小,导致他发明了扭秤。库仑发明扭称曾经受到纺车的启发。他在乡下注意到纱线的断头,总是向相反的方向卷曲。纺线拧得越紧,反卷的圈数就越多。他联想到,可以根据纱线卷曲的程度来度量力的大小,进而可以用来测量电荷之间的力。

 

1785 年,库仑利用扭秤实验测量了两电荷之间的作用力与它们之间距离的关系。他得出结论:“两个带有同种类型电荷的小球之间的排斥力与这两球中心之间的距离平方成反比。”1785 年,库仑在《电力定律》的论文中详细地介绍了实验装置,测试经过和实验结果。

 

库仑的扭秤(图3)由一根悬挂在细长线上的轻棒和在轻棒两端附着的两只平衡球构成。当球上没有力作用的时候,轻棒处在一定的平衡状态。如果两球中有一个带电,同时把另一个带同种电荷的小球放在它附近,则会有电力作用在这个球上,使可动球立即被排斥开,使棒绕着悬挂点转动,直到悬丝的扭力与电的作用力达到平衡时为止。因为悬丝非常细,很小的力作用在球上就能使棒明显地偏离它的原位置,转动的角度与力的大小成正比。两个带电体之间的不同距离是容易调节和测量的。

 

图3 轮库扭秤的构件

 

在库仑那个年代,既没有电荷量的单位,也无法测量物体所带的电荷量。按照实验的需要,库仑利用对称性原理对金属球的电量进行了改变。他先让金属球B 带上电荷,假设其电量为Q;使它与没有带电金属球A(A、B 两个球完全一样)相接触,即A、B两球的电量都是1/2Q;如果再用一个不带电的完全相同的球与B 球接触后分开,每重复接触一次,B 球的电量都会减半,可得Q、1/2Q、1/4Q、1/8Q、……库仑让这个可以移动球和固定的球带上同量的同种电荷,并调整两个球之间的距离:

 

第一次实验:在测微计指针指向O,并通过大头针使两球带电后,两球相距36 度。这时悬丝的扭转角是36 度。

 

第二次实验:根据测微计指针O 所示,将悬丝扭转126 度以后,两球相互接近,其间相距只18 度。这时悬丝的扭转角是126 度加18 度,为144 度。

 

第三次实验:将悬丝扭转567 度,两球相距8 度半。这时悬丝的扭转角是567 度加8 度半,为575 度半。

 

分析以上的实验数据,可以得出,斥力的大小与距离的平方成反比。然而,扭秤实验在异种电荷的实验中遇到了麻烦。因为金属丝扭转的回复力矩仅与角度的一次方成比例,而引力与距离的二次方成反比,也就是说引力的变化要比扭力快,这就不能保证扭秤的稳定。两带电球如果相距较远,则其误差很大;如果相距较近,两球也往往会相碰,这是因为扭秤十分灵活,多少会出现左右摇摆的缘故。两球相吸的结果常常是相互接触而发生电荷中和现象,使实验无法进行下去。

 

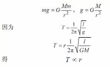
经过反复的思考,库仑借鉴动力学实验加以解决。地面上的物体受到的引力大小与物体到地心的距离的平方成反比,即:

 

 

地面上悬挂的物体绕悬点做振幅很小的摆动时,振幅周期与物体离地心的距离成正比。根据T ∝ r,库仑设想:如果异种电荷之间的引力也与它们之间的距离平方成反比,那么只要设计出一种电摆(图4)就可以进行实验。

 

库仑让球带正电,圆形金纸盘带负电,经过实验得到下列结果如下:

 

第一次实验:圆形金纸盘离球中心9 英寸,在20秒内摆动15 次。

 

第二次实验:圆形金纸盘离球中心18 英寸,在41 秒内摆动15 次。

 

图4 库仑的电摆

 

第三次实验:圆形金纸盘离球中心24 英寸,在60 秒内摆动15 次。

 

距离之比是3 ∶ 6 ∶ 8, 振动周期之比是20 ∶ 41 ∶ 60。如果符合距离平方反比规律的振动周期之比应该为20 ∶ 40 ∶ 54。第三次实验的结果与理论值相差近10%,库仑正确地解释为,这种现象是由于漏电造成的。这种漏电取决于带电体的绝缘效率、带电体的大小、其上电荷密度和空气湿度。因为每分钟损失电量大约为四十分之一,而整个实验大约需要四分钟才可以完成。在实验的四分钟中,考虑到电量的流失,使引力变小,从而测得摆动时间比理论值要长,

这样经过修正,两者的数值就很接近了。库仑认为:“异性电流体之间的作用力,与同性电流体的相互作用一样,都与距离的平方成反比。”库仑利用与单摆相类似的方法测定了异种电荷之间的引力也和它们的距离的平方成反比,不是通过扭力与静电力的平衡得到的。

 

修正了实验中的误差以后,库仑用实验揭示电相互作用、磁相互作用的过程。应当指出的是,库仑只是测定了距离平方的反比关系,并把静电力和静磁力从形式上归纳到万有引力的范畴。需要强调的是,库仑并没有专门验证静电力与电量之积、静磁力与磁荷之积成正比。后来,德国物理学家高斯(C. Gauss,1777—1855)提出直接从库仑定律出发定义电荷量度的思想。1839 年,高斯发表论文《关于与距离的平方成反比的吸引力或排斥力的普遍定理》中,提出了静电学高斯定理。

 

平方反比定律的验证

 

库仑定律是电学发展史上的第一个定量规律,是电磁学和电磁场理论的基本定律之一,也是物理学的基本定律之一。因此,自库仑定律发现以来,科学家一直没有停止对公式中r 的指数2 的验证。这是用实验来检验的问题。

 

1971 年,美国科学家威廉等人采用高频高压信号、锁定放大器和光学纤维传输来保证实验条件,用现代测试手段,将平方反比定律的指数偏差又延伸了好几个数量级,得到指数2 的偏差不超过10-16,因此完全可以假定指数为2。事实上,指数为2 和光子静止质量mz 为零是紧密相连的,两者是可以互推的。这是因为现有理论都是以mz 等于零为前提,如果m不为零,即使这个值非常小,也会动摇物理学大厦的基石。例如,出现真空色散;光速可以变化;电荷不守恒等。

 

到目前为止, 理论和实验表明点电荷作用力的平方反比定律是非常精确的。例如,著名的α 粒子散射实验和地球物理实验表明,库仑定律在10-11 米到107米的尺度范围内是可靠的。

 

库仑之后的科学家在这方面的研究工作主要是提高了指数n 的精确性,虽然这些工作也是很重要的,但就重要性而言,难以与库仑的工作相提并论。因此,我们把电力平方反比定律称为库仑定律,把电量的单位用库仑的名字命名。

 

两点启发

 

一是类比方法的运用。类比法是科学研究中的一种重要思维方法,被赞誉为科学活动中的“伟大的引路人”。物理史上很多重大发现、发明,往往发端于类比。在向新的科学问题进军时,通过对新旧科学问题之间相似的联想,类比推理可以帮助取得重大突破。梳理库仑定律的建立过程, 我们可以看到类比方法在物理学研究中有重要性。把万有引力的平方反比规律类比到电力这个新的领域,使得库仑定律一开始就走上了正确的道路(没有走弯路)。一言以蔽之,如果不是先有万有引力定律的发现,如果没有依靠类比方法,仅仅依靠具体实验数据的积累与分析,得到严格意义上的库仑定律的表达式还需要付出很大的努力,还需要走很长的路。

 

毋庸讳言,类比也是一把双刃剑。虽然类比推理富有创造力,但是又是不可靠的。德国大哲学家黑格尔曾有精辟评价:类推可能很肤浅,也可能很深刻。自然过程是千差万别的,是无时无刻不在发展变化的。况且人的认识能力还要受到时代条件的限制,因此,毫无疑问,一些类比往往带着通常具有暂时的过渡性质,它们在物理学的发展中无非是充当“药引子”或者“催化剂”的作用。因为确切地说,完全新的事物是不能用熟悉的术语说明的。因此,物理学家借助于类比而引进物理概念或建立新物理定律以后,不应当局限于原先类比的“一亩三分地”,也不能把类比所得到的所有推论都当作绝对正确的。类比不过是物理学家在构建物理学宏伟大厦时的脚手架罢了,物理学的大厦一旦建成,脚手架也就需要拆除了。

 

二是理论和实验如车之两轮,相辅相成。物理学是一门自然科学,其研究始终着眼于探索物质世界及其运动的规律;物理学又是以实验为本的科学,物理学的概念、规律及公式等都是以实验为基础的。库仑定律不仅是一个实验定律,还可以说是万有引力定律在电学和磁学中的“推论”。如果说库仑定律是实验定律,库仑的扭秤实验起到了重要作用。即便如此,库仑仍然借鉴了牛顿的万有引力理论,模仿万有引力的大小与两物体的质量成正比的关系,“理所当然”地认为,两电荷之间的作用力与两电荷的电量也成正比关系。如果没有这个前提,实验就没有办法进行,因为当时还没有建立电量的量度。

 

库仑和其他科学家根据实验数据得到的结果,并不能确定平方反比关系,而是比2 多一点点。回顾库仑定律的发现历程,我们可以看出,如果不是科学家在万有引力定律的理论启发下,把实验结果中对平方的修正项视为实验误差,进而删除掉,库仑定律也就不会这么快地建立。诺贝尔奖获得者李政道提出“物理学家的定律”,精准概括了理论和实验的关系:“没有实验家,理论家就会迷失方向;没有理论家,实验家就会迟疑不决。”诚哉斯言,正是依靠着实验和理论的相互配合、相互激励,物理学才能构建宏伟的大厦。

责编:科普知识网

分享到:

>相关科普知识